หน้าแรก ITA แบบสอบถามความฯ Facebook Admin webmail เว็บเก่า

-: ยินดีต้อนรับสู่เว็บไซต์ของ องค์การบริหารส่วนตำบลทุ่งวัง:-

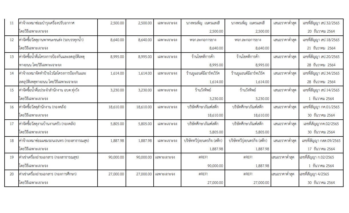
สรุปผลกำรดำเนินกำรจัดซื้อจัดจ้างในรอบเดือนธันวาคม พ.ศ. 2564

เรื่องที่เกี่ยวข้อง

No comments yet
                                  

เว็บไซต์ระบบสารสนเทศที่เกี่ยวข้อง

ติดต่อ จนท.
Messenger
คลิ๊กเลย